10 Channel GNSS Disciplined 10 MHz Oscillator Frequency Reference
Low Noise 10 Channel Reference Locked to GNSS
NR2310D-OG
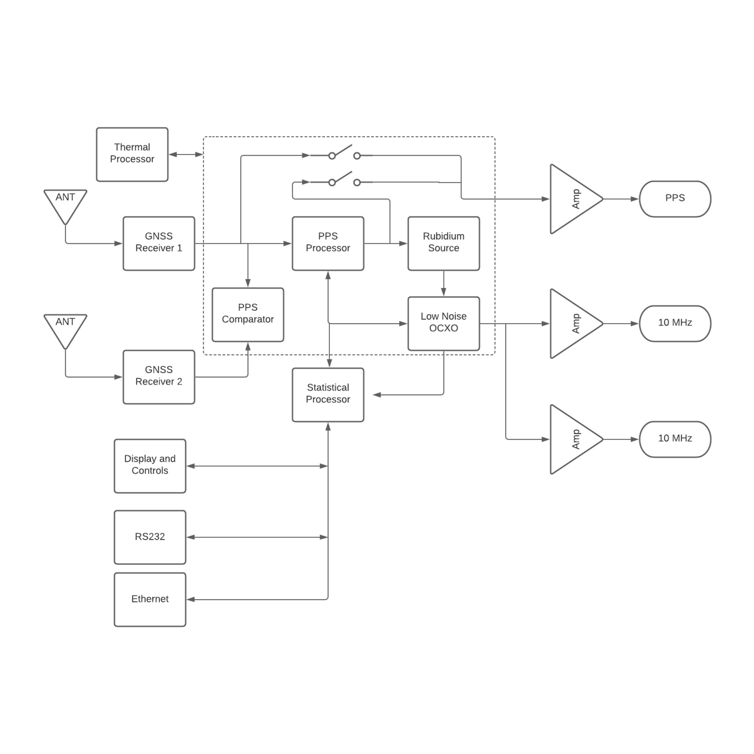
10 Channel 10 MHz GNSS GPS locked frequency reference. There area number of stability options that include having the entire timing assembly is in a thermally isolated case operating at a constant temperature. Thermal gradients are minimized and component variation with temperature are dramatically reduced. . The unit reports equipment status locally and via the RS232 port or the Internet. In addition to output amplitudes and internal critical measurements, the unit reports a continuous calculation of Allan Deviation. Various phase noise options are available and a Rubidium option (NR2310D-ROG) is available to address long term holdover requirements. Dual power source options for AC and DC power driven systems. Dual-time base option adds integrity to your time base.
- Ten transient and fault protected channels with fault indicators on the front panel.
- Dual-time base option – internal gap-less embedded frequency counter continuously monitors the frequency reference with its own independent GNSS based reference.
- Option – operates from AC or DC power sources independently or redundantly.
- Monitor and set alert limits on each output.
- Continuous display and reporting of Allan Deviation
- Two-stage amplifier design isolates the source from the amplifier outputs, thereby protecting the source.
- SNMP provides remote monitoring and control
- Available with either BNC or SMA output connectors
- Stability options information available in additional information tab
- PPS jitter 1 sigma of 15 ns
- Allan Deviation <10E-12
- See Additional Information Tab for more stability options
- Reports Allan Deviation locally and remotely
- Numerous stability options
- Option to lock to an external PPS
- 1PPS output
Brand : Novus SKU :NR2310D-OG



















